The goal of psc is to compare a dataset of observations against a parametric model
You can install the development version of psc from GitHub with:
# install.packages("devtools")
devtools::install_github("richJJackson/psc")This is a basic example which shows you how to solve a common problem:
library(psc)
library(survival)
## basic example code
### Load model
data("surv.mod")
### Load Data
data("data")
### Use 'pscfit' to compare
surv.psc <- pscfit(surv.mod,data)
#> Warning in data_match(cls, lev, DC): vi specified as a character in the model, consider respecifying
#> as a factor to ensure categories match between CFM and DC
#> Warning in data_match(cls, lev, DC): allmets specified as a character in the model, consider respecifying
#> as a factor to ensure categories match between CFM and DC
#> | | | 0% | | | 1% | |= | 1% | |= | 2% | |== | 2% | |== | 3% | |== | 4% | |=== | 4% | |=== | 5% | |==== | 5% | |==== | 6% | |===== | 6% | |===== | 7% | |===== | 8% | |====== | 8% | |====== | 9% | |======= | 9% | |======= | 10% | |======= | 11% | |======== | 11% | |======== | 12% | |========= | 12% | |========= | 13% | |========= | 14% | |========== | 14% | |========== | 15% | |=========== | 15% | |=========== | 16% | |============ | 16% | |============ | 17% | |============ | 18% | |============= | 18% | |============= | 19% | |============== | 19% | |============== | 20% | |============== | 21% | |=============== | 21% | |=============== | 22% | |================ | 22% | |================ | 23% | |================ | 24% | |================= | 24% | |================= | 25% | |================== | 25% | |================== | 26% | |=================== | 26% | |=================== | 27% | |=================== | 28% | |==================== | 28% | |==================== | 29% | |===================== | 29% | |===================== | 30% | |===================== | 31% | |====================== | 31% | |====================== | 32% | |======================= | 32% | |======================= | 33% | |======================= | 34% | |======================== | 34% | |======================== | 35% | |========================= | 35% | |========================= | 36% | |========================== | 36% | |========================== | 37% | |========================== | 38% | |=========================== | 38% | |=========================== | 39% | |============================ | 39% | |============================ | 40% | |============================ | 41% | |============================= | 41% | |============================= | 42% | |============================== | 42% | |============================== | 43% | |============================== | 44% | |=============================== | 44% | |=============================== | 45% | |================================ | 45% | |================================ | 46% | |================================= | 46% | |================================= | 47% | |================================= | 48% | |================================== | 48% | |================================== | 49% | |=================================== | 49% | |=================================== | 50% | |=================================== | 51% | |==================================== | 51% | |==================================== | 52% | |===================================== | 52% | |===================================== | 53% | |===================================== | 54% | |====================================== | 54% | |====================================== | 55% | |======================================= | 55% | |======================================= | 56% | |======================================== | 56% | |======================================== | 57% | |======================================== | 58% | |========================================= | 58% | |========================================= | 59% | |========================================== | 59% | |========================================== | 60% | |========================================== | 61% | |=========================================== | 61% | |=========================================== | 62% | |============================================ | 62% | |============================================ | 63% | |============================================ | 64% | |============================================= | 64% | |============================================= | 65% | |============================================== | 65% | |============================================== | 66% | |=============================================== | 66% | |=============================================== | 67% | |=============================================== | 68% | |================================================ | 68% | |================================================ | 69% | |================================================= | 69% | |================================================= | 70% | |================================================= | 71% | |================================================== | 71% | |================================================== | 72% | |=================================================== | 72% | |=================================================== | 73% | |=================================================== | 74% | |==================================================== | 74% | |==================================================== | 75% | |===================================================== | 75% | |===================================================== | 76% | |====================================================== | 76% | |====================================================== | 77% | |====================================================== | 78% | |======================================================= | 78% | |======================================================= | 79% | |======================================================== | 79% | |======================================================== | 80% | |======================================================== | 81% | |========================================================= | 81% | |========================================================= | 82% | |========================================================== | 82% | |========================================================== | 83% | |========================================================== | 84% | |=========================================================== | 84% | |=========================================================== | 85% | |============================================================ | 85% | |============================================================ | 86% | |============================================================= | 86% | |============================================================= | 87% | |============================================================= | 88% | |============================================================== | 88% | |============================================================== | 89% | |=============================================================== | 89% | |=============================================================== | 90% | |=============================================================== | 91% | |================================================================ | 91% | |================================================================ | 92% | |================================================================= | 92% | |================================================================= | 93% | |================================================================= | 94% | |================================================================== | 94% | |================================================================== | 95% | |=================================================================== | 95% | |=================================================================== | 96% | |==================================================================== | 96% | |==================================================================== | 97% | |==================================================================== | 98% | |===================================================================== | 98% | |===================================================================== | 99% | |======================================================================| 99% | |======================================================================| 100%You can use standard commands for getting a summary of your analysis…
summary(surv.psc)
#> Summary:
#>
#> 100 observations selected from the data cohort for comparison
#> CFM of type flexsurvreg identified
#> linear predictor succesfully obtained with median:
#> trt: 3.15
#> Average expected response:
#> trt: 9.1
#> Average observed response: 6.366
#>
#> Counterfactual Model (CFM):
#> A model of class 'flexsurvreg'
#> Fit with 3 internal knots
#>
#> Formula:
#> Surv(time, cen) ~ vi/age60 + ecog + allmets + logafp + alb +
#> logcreat + logast + aet
#> <environment: 0x1097f3cd8>
#>
#> Call:
#> CFM model + beta
#>
#> Coefficients:
#> median 2.5% 97.5% Pr(x<0) Pr(x>0)
#> beta 0.3681 0.1639 0.5567 0.0002 0.9998
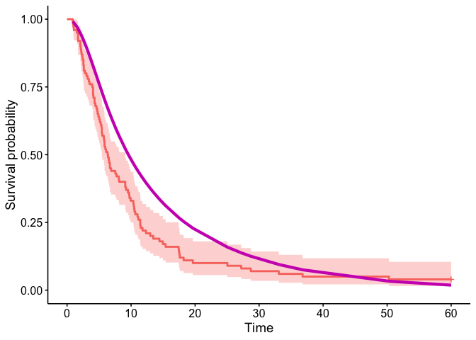
#> DIC 280.7310 273.4438 292.3749 NA NA… and to see a plot of what you have done

In that case, don’t forget to commit and push the resulting figure files, so they display on GitHub and CRAN.